1. Tiêu chuẩn áp dụng
- TCVN 8867:2011: Tiêu chuẩn quốc gia về xác định mô đun đàn hồi chung của kết cấu áo đường mềm bằng cần đo võng Benkelman.
- Lưu ý: Đã có dự thảo hoặc phiên bản mới hơn là TCVN 8867:2025 cập nhật về phương pháp đo độ võng đàn hồi.
2. Thiết bị thí nghiệm
- Cần Benkelman: Thiết bị có đòn bẩy với tỷ lệ thường là 1:2, dùng để đo chuyển vị đứng của mặt đường.
- Xe tải tiêu chuẩn: Xe có tải trọng trục sau quy định (thường là 100 kN) và áp suất lốp chuẩn.
- Đồng hồ đo biến dạng (Dial gauge): Gắn trên cần để đọc trị số độ võng với độ chính xác 0.01 mm.
3. Quy trình thực hiện (Phương pháp đo võng tĩnh)
1. Chuẩn bị điểm đo: Đánh dấu các điểm đo trên mặt đường (thường nằm trên vệt bánh xe).
2. Đặt cần đo: Chèn đầu cần Benkelman vào giữa hai bánh sau của xe tải tại điểm đã đánh dấu.
3. Đọc số đo ban đầu (d1): Khi bánh xe đang đè tại điểm đo, thiết lập đồng hồ về 0 hoặc đọc giá trị ban đầu.
4. Cho xe chạy đi: Xe tải di chuyển chậm ra khỏi điểm đo (khoảng 5m).
5. Đọc số đo cuối (d2): Sau khi mặt đường hồi phục, đọc giá trị trên đồng hồ. Độ võng đàn hồi được tính bằng hiệu số giữa hai lần đọc nhân với hệ số cần (thường là x2).
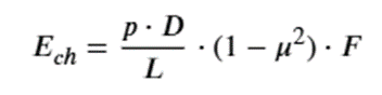
4. Cách tính Mô đun đàn hồi (Ech)
Sau khi có độ võng đàn hồi (L), mô đun đàn hồi được tính toán dựa trên công thức lý thuyết đàn hồi của lớp bán không gian vô hạn (theo mô hình Boussinesq):

- P: Áp lực bánh xe lên mặt đường.
- D: Đường kính vệt bánh xe tương đương.
- L: Độ võng đàn hồi đo được.
- µ: Hệ số Poisson của vật liệu.
- F: Hệ số hiệu chỉnh (tùy thuộc vào nhiệt độ mặt đường BTN và mùa thí nghiệm).

